Teuerung – was ist das eigentlich genau?
Bei Mietzinsänderungen darf die Vermieterschaft immer auch einen Teil der Teuerung auf den Mietzins überwälzen, nämlich 40 Prozent. Doch was ist diese Teuerung eigentlich genau?
Teuerungsausgleich auf dem risikotragenden Eigenkapital
Von einer Teuerung spricht man, wenn das allgemeine Preisniveau in nacheinander folgenden Perioden ansteigt. Bei einer Teuerung reduziert sich die Geldmenge weniger stark als die Gütermenge. Daraus ergibt sich eine Entwertung des Geldes. Das bedeutet, für den gleichen Frankenbetrag kann man vergleichsweise weniger Produkte kaufen als vor der Phase der Teuerung.
Damit der Immobilienmarkt für Investoren attraktiv bleibt, darf die Vermieterschaft ihr in eine Immobilie investiertes Kapital der Teuerung anpassen, um dessen Kaufkraft zu erhalten (Art. 269a lit. e OR). Die Teuerung hat folglich auch einen Einfluss auf die Höhe des Mietzinses. Sie ist ein relativer Mietzinsanpassungsgrund. Je nach Entwicklung der Teuerung kann sie sowohl eine Erhöhung als auch eine Senkung der Miete rechtfertigen. Normalerweise steigt die Teuerung langsam und stetig an. Etwa im Jahr 2011 hat sich der Trend aber gekehrt, die Teuerung war über längerer Zeit rückläufig. Seit Beginn des Jahres 2022 ist sie stark angestiegen.
Was ist der Landesindex der Konsumentenpreise?
Der Landesindex der Konsumentenpreise (LIK) gilt in der Schweiz als das wichtigste Messinstrument für die Teuerung. Um die Entwicklung der Konsumentenpreise zu messen, wird ein gleichbleibender Warenkorb definiert, der die üblichen bzw. alltäglichen Ausgaben wie z.B. für Nahrungsmittel oder Produkte für die Gesundheitspflege eines durchschnittlichen Haushalts in der Schweiz repräsentiert. In der Folge ermittelt das Bundesamt für Statistik (BFS) monatlich den Preis für diesen Warenkorb. Es wird beispielsweise der aktuelle Preis für ein Kilogramm Mehl mit demjenigen des Vormonats verglichen. Steigt dieser Preis über mehrere nachfolgende Perioden an, spricht man von einer Teuerung. Der LIK zeigt also, wie viel der ganze Warenkorb oder bestimmte Waren gegenüber dem Vormonat, dem Vorjahr oder jedem anderen früheren Zeitpunkt teurer geworden sind.
Da sich im Laufe der Zeit die Verbrauchergewohnheiten verändern, muss regelmässig ein neuer «Warenkorb» zusammengestellt werden. Deshalb eröffnet das Bundesamt für Statistik jeweils eine neue Tabelle mit einer neuen Basis. Seit seiner Einführung 1922 wurde der Landesindex bereits elf Revisionen unterzogen (1926, 1950, 1966, 1977, 1982, 1993, 2000, 2005, 2010, 2015 und 2020). Die nächste umfassende inhaltliche und methodische Überprüfung des Landesindexes findet mit der Revision 2025 statt.
Die mit «Dezember 2015 = 100» bezeichnete Indexreihe beruht auf der Basis 100 Punkte im Dezember 2015. Steigt im Januar 2016 der Gesamtpreis des «Warenkorbs» um 1 Prozent, dann beträgt der Index im Januar 101.00 Punkte.
Wie viel darf die Vermieterschaft überwälzen?
Das standardisierte Finanzierungsmodell geht davon aus, dass 60% einer Liegenschaft durch Bankkredite (Hypotheken) und 40% durch Eigenkapital finanziert sind. Deshalb darf die Vermieterschaft höchstens 40% der Teuerung auf den Mietzins überwälzen. Bei der Indexmiete nach Art. 269b OR gibt es eine Ausnahme: Indexveränderungen dürfen zu 100% auf den Mietzins überwälzt werden.
Berechnung:
Massgeblich ist die Veränderung der Teuerung seit der letzten massgeblichen Mietzinsfestsetzung. Als solche gelten:
- der Abschluss des Mietvertrages, sofern der Mietzins seither nicht mehr angepasst wurde;
- die Mitteilung der letzten Mietzinserhöhung;
- Handelt es sich bei der letzten Anpassung um eine Mietzinssenkung ist zu differenzieren:
- sofern der Vermieter die Senkung gewährt hat, ist der Zeitpunkt der letzten Mietzinserhöhung oder des Vertragsschlusses (wenn bislang keine Erhöhung stattgefunden hat) relevant.
- sofern die Senkung durch ein Schlichtungs- oder Gerichtsverfahren festgelegt wurde, dann sind die im Vergleich oder Urteil festgelegte Mietzins inkl. Kostenstände relevant.
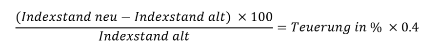
Von der berechneten Teuerung dürfen 40 Prozent auf den Mietzins überwälzt werden (Art. 16 WMWG). Die Teuerung kann mit folgender Formel berechnet werden:

Beispiel:
Am 15. August 2022 teilte der Vermieter der Mieterschaft mit, dass er den Mietzins wegen der gestiegenen Teuerung per 1. Dezember 2022 erhöhen will. Der Mietvertrag wurde am 15. Juni 2015 abgeschlossen. Der Mietzins von monatlich CHF 1'500.- blieb seit Mietbeginn unverändert. Im Mietvertrag steht, dass dieser Index auf der Basis «Dezember 2010 = 100» beruht.
- 1. Schritt:
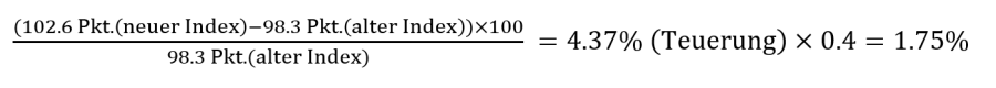
Zuerst muss der Landesindex der Konsumentenpreise im Zeitpunkt der letzten Mietzinsfestlegung bestimmt werden (Basisindex oder gem. Formel: Index «alt»). Das ist in der Regel der Indexstand jenes Monats, welcher dem Datum des Vertragsschlusses vorangegangen ist.
Im Beispiel ist folglich der Indexstand im Mai 2015 massgebend. Dieser betrug 98.3 Punkte (Basis Dezember 2010 = 100).
- 2. Schritt:
Dann muss der Indexstand, mit dem die Mietzinserhöhung begründet wird, bestimmt werden (Index neu). Das ist in der Regel der Indexstand des der Anzeige vorangegangenen Monats. Wichtig ist, dass die Indexzahl mit derselben Basis abgelesen wird, also ebenfalls mit der Basis «Dezember 2010 = 100».
Im Beispiel wird die Mietzinserhöhung der Mieterschaft am 15. August 2022 mitgeteilt. Massgeblich ist folglich der Indexstand im Juli 2022 massgebend. Dieser beträgt 102.6 Punkte (Basis Dezember 2010 = 100).
- 3. Schritt:
Mit diesen beiden Indexständen lässt sich die Teuerung gemäss der vorgenannten Formel berechnen:

Im Beispiel darf der Mietzins folglich um 1.75%, also um Fr. 26.25 erhöht werden. Der neue Mietzins beträgt demnach ab dem nächsten Kündigungstermin Fr. 1'526.25.